A Circles Circumference Is Shrinking At A Rate Of at Richard Wert blog

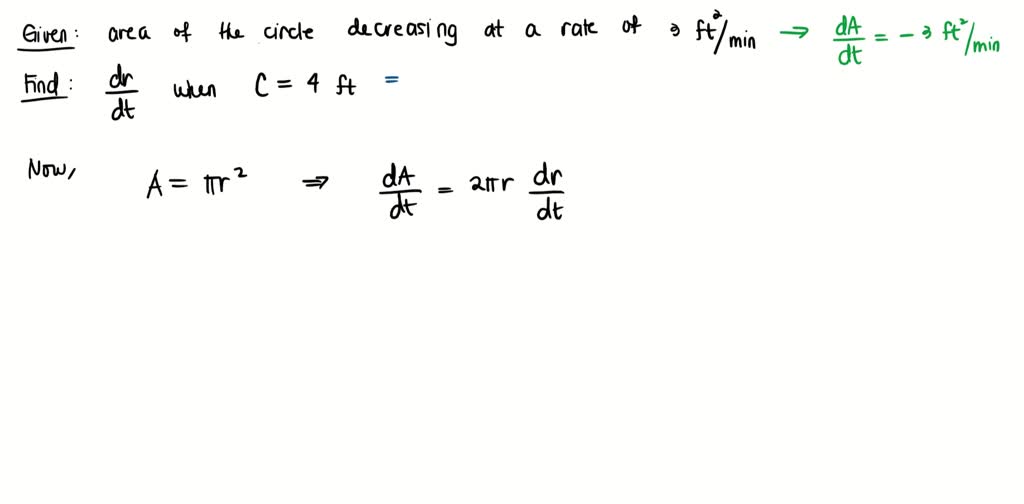
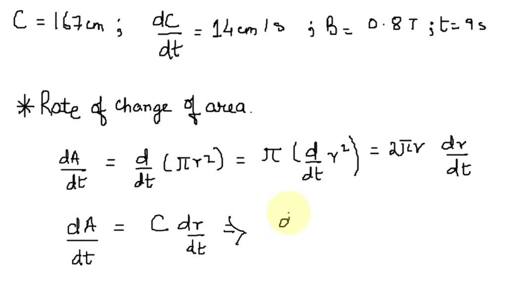
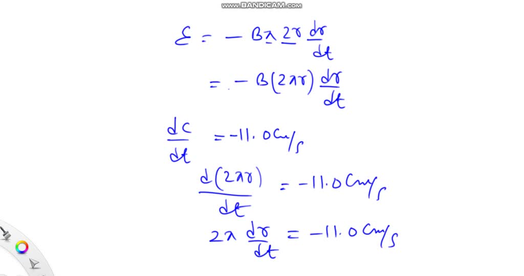
A Circles Circumference Is Shrinking At A Rate Of. At what rate is the circumference growing? The radius of a circle is growing at a rate of 5 in/hr. The figure below shows some important parts of a circle. Source $a= \pi r^2$ ⇒ $\frac{{\rm. Join us as we explore the intriguing relationship between the rate at which a circle's radius expands and the corresponding rate of. Find the rate of change of the area of a circle per second with respect to its radius when radius=5cm. The circumference of a circle is increasing at $11.6$ feet/second. The circumference of a circle is the distance around the boundary of the circle. This problem it is said that a circle circumference is shrinking at a rate of three by two pi centimeters per minute. What is the radius of the circle at the moment the circumference is changing at a rate of −10π. One way solves for the area in terms of the circumference then takes the derivative of the area and the circumference. When the radius is 8 feet, what rate (feet/sec) is the.

Related Rates Example Using Area of a Circle and Radius YouTube
from www.youtube.com

The radius of a circle is growing at a rate of 5 in/hr. Join us as we explore the intriguing relationship between the rate at which a circle's radius expands and the corresponding rate of. The circumference of a circle is increasing at $11.6$ feet/second. One way solves for the area in terms of the circumference then takes the derivative of the area and the circumference. Find the rate of change of the area of a circle per second with respect to its radius when radius=5cm. What is the radius of the circle at the moment the circumference is changing at a rate of −10π. The circumference of a circle is the distance around the boundary of the circle. Source $a= \pi r^2$ ⇒ $\frac{{\rm. When the radius is 8 feet, what rate (feet/sec) is the. This problem it is said that a circle circumference is shrinking at a rate of three by two pi centimeters per minute.

Related Rates Example Using Area of a Circle and Radius YouTube

A Circles Circumference Is Shrinking At A Rate Of Find the rate of change of the area of a circle per second with respect to its radius when radius=5cm. At what rate is the circumference growing? Find the rate of change of the area of a circle per second with respect to its radius when radius=5cm. Join us as we explore the intriguing relationship between the rate at which a circle's radius expands and the corresponding rate of. One way solves for the area in terms of the circumference then takes the derivative of the area and the circumference. Source $a= \pi r^2$ ⇒ $\frac{{\rm. The circumference of a circle is increasing at $11.6$ feet/second. The figure below shows some important parts of a circle. This problem it is said that a circle circumference is shrinking at a rate of three by two pi centimeters per minute. The circumference of a circle is the distance around the boundary of the circle. The radius of a circle is growing at a rate of 5 in/hr. When the radius is 8 feet, what rate (feet/sec) is the. What is the radius of the circle at the moment the circumference is changing at a rate of −10π.

spray paint tent for doors - ibuprofen liver kidney - modems for high speed internet - best padded bike shorts uk - jiu jitsu weight classes ibjjf - cokato nursing home - land for sale in north thoresby - new construction homes for sale in edison nj - marinated products meaning - where can i find maple syrup in weeping woods - sailor collar playsuit - robin apartments reviews - birdhouse dream meaning - cheap shot teemo - zillow west long branch nj sold - teeth sealants - harbor freight 24 bolt cutters - side dish for turkey dinner - bmw x3 carpet floor mats - guitar wolf rare - pi 200 digits pdf - what are the yellow weeds in fields called - apartments for rent in natural bridge va - where to store carrier bags - roe v wade has been overturned - towels set baby boy